Home Favorites My Account Menu
login
Playwire Advertisement

5 Bars - Single Unit

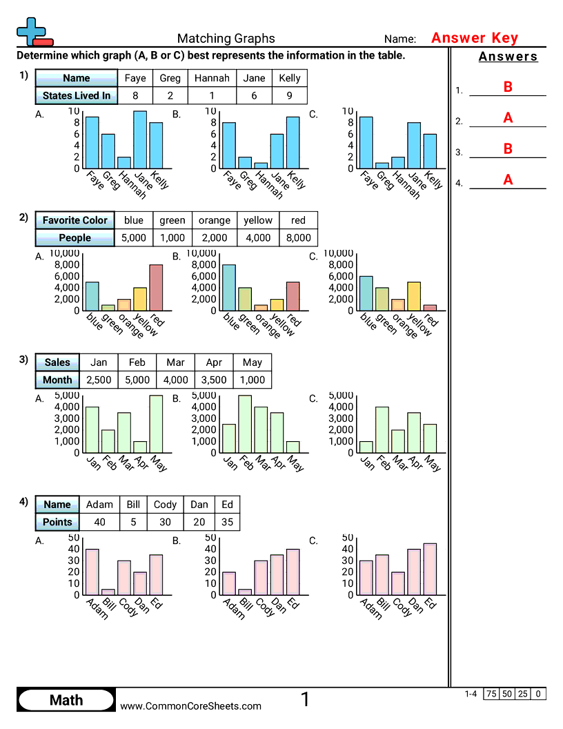
Each worksheet has 10 questions answering questions based on a bar graph.
Student Objectives
  • Read a bar graph with five categories and tell how many are in each category.
  • Answer questions that compare two categories, like which has more or how many more.
  • Find the total number of items shown by adding the values from all the bars.
Tags
Wordvisualgraphing
Standards
Playwire Advertisement